Sistemas homogéneos
Sistemas Homogéneos
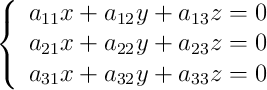
Decimos que un sistema de ecuaciones es homogéneo cuando todos los términos independientes son cero.

– Los sistemas homogéneos son siempre compatibles (SCD o SCI) puesto que la matriz de los coeficientes y la matriz ampliada tienen el mismo rango (al ampliar la matriz de los coeficientes con una file de ceros el rango no varía).
– Cuando un sistema homogéneo sea Compatible Determinado (SCD), su solución única será la trivial:
,
, ![]()