Resolver Sistema por el método de Gauss
El método de Gauss consiste en transformar un sistema de ecuaciones en un sistema escalonado, que es más fácil de resolver.
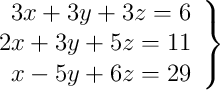
| Sistema normal | Sistema escalonado | |
![]() |
Gauss |
![]() |
El método de Gauss reducido, en lugar de trabajar con las ecuaciones, trabaja con los coeficientes: usa la matriz ampliada del sistema
![]() |
![]() | |
![]() Matriz normal |
Gauss |
![]() Matriz escalonada |
Para convertir una matriz normal en una matriz escalonada se pueden usar las siguientes transformaciones de filas:
– Intercambiar dos filas
– Multiplicar o dividir una fila por un número
– Sumar a una fila otra fila multiplicada por un número
Ejemplo 1: Dividir la 1ª fila (F1) por 3

Ejemplo 2: Restar las filas primera y tercera y poner el resultado en la tercera fila

Las transformaciones de filas se deben hacer siguiendo un orden y teniendo presente que el objetivo es conseguir los tres ceros:
![]() |
Gauss |
![]() |
Para hacer cada uno de los ceros hay que hacer transformaciones usando dos filas:
– La fila donde queremos poner el cero
– La fila del recuadro
superior
El orden a seguir es:
– 1) hacer los dos ceros de la 1ª columna
– 2) hacer el cero de la 2ª columna
Veamos un ejemplo:





