Expresión matricial de un sistema lineal
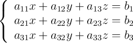
Dado un sistema de ecuaciones

Se puede expresar de forma matricial de la siguiente manera:

La expresión anterior, de forma abreviada
, se llama expresión matricial del sistema. Las matrices se conocen como:
–
matriz de los coeficientes
–
matriz de las incógnitas
–
matriz de los términos independientes
Matriz ampliada
Se llama matriz ampliada (se representa por
) a la matriz de los coeficientes ampliada con la columna de los términos independientes.

Es frecuente expresar la matriz de los coeficientes (
) y la matriz ampliada (
) en una única expresión:
