Préstamos. Matemática financiera
Queremos pedir un préstamo y tenemos las ofertas de dos bancos:
Banco 1
– Capital préstamo: 50000 €
– Interés anual: 3 %
– Periodo de pago: Mensual
– Tiempo: 11 años
– Gastos y comisiones: 1200 €
Banco 2
– Capital préstamo: 50000 €
– Interés anual: 4 %
– Periodo de pago: Anual
– Tiempo: 7 años
– Gastos y comisiones: 1500 €
– ¿Qué cuota tendríamos que pagar en cada caso? Recuerda que en el primer banco el pago será mensual y en el segundo banco la cuota será anual.
– Cuando terminamos de pagar todo el préstamo, ¿qué banco nos ha ofrecido el producto más rentable?
– Si lo que nos interesa es pagar cada año lo menos posible, ¿qué opción elegiremos?
Aparte del préstamo que queremos pedir, disponemos de 6500 € para posibles imprevistos que colocamos en un depósito que nos ofrece un interés compuesto del 4%, en periodos mensuales. Después de 7 años, ¿qué capital final obtendremos? Calcula la tasa anual equivalente (TAE).
SOLUCIÓN
Debemos usar las fórmulas de Financiación
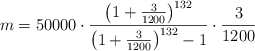
Para el primer banco aplicamos la fórmula

Que aplicada a nuestros datos sería:


![]()
![]()
€ mensuales
Para el segundo banco aplicamos la fórmula:

Con nuestros datos será:

€ anuales
Con el primer banco pagamos ![]()
Con el segundo banco pagamos ![]()
Por lo que el segundo banco es ligeramente más rentable.
Si queremos pagar lo mínimo al año, nos saldría mejor el banco 1 (independientemente de las comisiones)
Banco 1: ![]()
Banco 2: ![]()
Para el depósito usaremos las fórmulas de interés compuesto
Para nuestro caso, como los periodos son mensuales usaríamos la fórmula:
![]()
![]()
Para calcular la TAE usamos las fómulas de TAE
En nuestro caso será:
![]()
La TAE es del ![]()