Navega sin publicidad Regístrate GRATIS

Interés compuesto. Fórmulas

matemática_financiera

Hablamos de interés compuesto cuando al capital inicial se le van sumando los intereses de cada periodo (de esa forma el capital inicial va aumentando, en lugar de permanecer fijo como en el interés simple).

Para calcularlo usaremos las siguientes fórmulas:

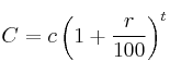
C = c \cdt \left( 1 + \frac{r}{100} \right)^t (si el tiempo es en años)

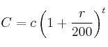
C = c \cdt \left( 1 + \frac{r}{200} \right)^t (si el tiempo es semestres)

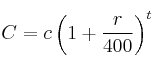
C = c \cdt \left( 1 + \frac{r}{400} \right)^t (si el tiempo es trimestres)

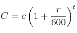
C = c \cdt \left( 1 + \frac{r}{600} \right)^t (si el tiempo es bimestres)

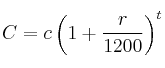
C = c \cdt \left( 1 + \frac{r}{1200} \right)^t (si el tiempo es en meses)

C = c \cdt \left( 1 + \frac{r}{36000} \right)^t (si el tiempo es en días)

C es el Capital final
c es el Capital inicial
r es el rédito
t es el tiempo: número de años, trimestres, meses, días, etc.

Comentar el artículo