Vectores. Producto escalar y vectorial
Considera los puntos
,
,
y ![]()
– a) Calcula el módulo de los vectores
y
– b) Los vectores
,
y
¿son linealmente independientes?
– c) Calcula el producto escalar
– d) Halla el área del triángulo determinado por los puntos
,
y ![]()
SOLUCIÓN:
– a)
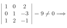
– b)
,
,
son linealmente independientes
– c)
– d)
Área

Matemáticas IES