Selectividad Andalucía 2012 - 2 - B1

, por dani

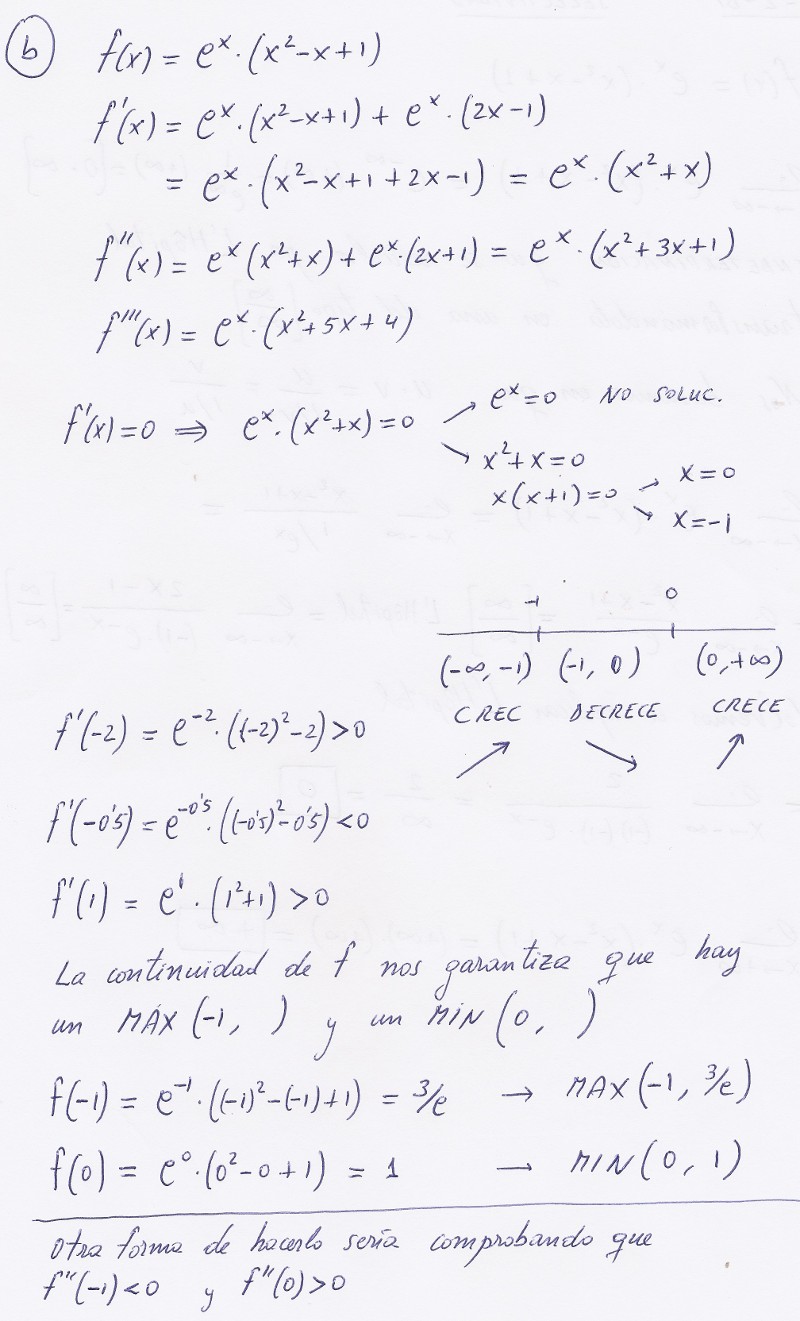
Sea la función f \: : \: R \: \longrightarrow \: R definida por f(x)=e^x (x^2-x+1)

 a) Calcula \lim_{x  \rightarrow - \infty} f(x) y \lim_{x  \rightarrow + \infty} f(x)
 b) Halla los extremos relativos de f (abscisas donde se obtienen y valores que se alcanzan), determinando si son máximos o mínimos.
 c) Determina las abscisas de los puntos de inflexión de la gráfica de f.