Selectividad Andalucía 2009-1-A4
Considera el punto
y la recta
definida por las ecuaciones

– a) Halla la ecuación del plano perpendicular a r que pasa por A
– b) Calcula la distancia del punto A a la recta r
SOLUCIÓN:
– a) Si el plano es perpendicular a la recta, el vector director de la recta nos valdrá como vector normal del plano.
Dado que tenemos un punto por donde pasa y su vector normal, podemos determinar la ecuación del plano.
En primer lugar hallamos el vector director de la recta (mediante alguno de los procedimientos descritos en los apuntes. Usaremos este: obtenemos un par de puntos de la recta y a partir de ellos el vector director
Si
(en la 1ª ecuación)
(en la 2ª ecuación)
El primer punto sería ![]()
Si
(en la 1ª ecuación)
(en la 2ª ecuación)
El segundo punto sería ![]()
El vector director de la recta será
, por tanto el plano tendrá como ecuación ![]()
Ahora le hacemos pasar por el punto
y obtenemos el valor de
![]()
Ecuación del plano que nos piden:
que se puede simplificar, quedando 
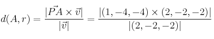
– b) Para hallar la distancia del punto (A) a la recta (r) usaremos la fórmula

donde
Para hallar el vector
usaremos uno de los puntos obtenidos en el apartado a), por ejemplo
y el punto
, quedando
El vector director de la recta también lo tenemos del apartado anterior
Aplicamos la fórmula y calculamos:

Hacemos previamente el producto vectorial en el numerador y queda (0,-6,6)

Matemáticas IES