Recta por un punto paralela a un plano y cortando a otra recta
SOLUCIÓN
Todos los ejercicios de geometría 3D se puede hacer de muchas maneras.
Casi siempre es recomendable hacer el dibujo de la situación.
a) Nos piden un plano que contenga a una recta y pase por un punto
De la recta r podemos obtener un punto A y un vector director ![]()
Si consideramos el vector
ya tendríamos un punto y dos vectores directores (lo cual determinaría el plano que nos piden)
Una vez definida la estrategia a seguir, procedemos a desarrollarla:
![]()
El punto es
El vector es
El vector ![]()
Con un punto y dos vectores construimos la ecuación del plano
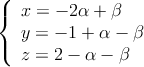
Como no pide una ecuación determinada, podemos poner cualquier ecuación, por ejemplo las ecuaciones paramétricas:

b) Halla la ecuación de la recta que pasa por P, es paralela a \pi y corta a r
Ponemos primero los datos:
![]()
Antes de hacer el dibujo voy a comprobar la posición de la recta
y el plano ![]()
Recuerda la teoría: Posición relativa de recta y plano

Resolvemos el sistema formado por las dos ecuaciones de la recta y la ecuación del plano

La recta y el plano se cortan en el punto A(2,-2,3).
Ahora ya puedo hacer el dibujo
Me piden la recta (en verde) s que pasa por P, es paralela al plano y corta a la recta r
La solución pasaría pro crear un plano paralelo a
por el punto P
Después hallamos el punto Q (intersección del nuevo plano con la recta r).
Con los puntos P y Q obtenemos la ecuación de la recta s que me piden
1) Plano paralelo a
por el punto ![]()
Todos los planos paralelos a
son de la forma:
![]()
Si pasa por
entonces:
![]()
Por tanto el plano es ![]()
Hallamos Q haciendo la intersección del plano con la recta r

Resolvemos el sistema formado por las dos ecuaciones de la recta y la ecuación del plano

La recta y el plano se cortan en el punto ![]()
Ahora el problema se reduce a encontrar la ecuación de la recta que pasa por los puntos
y ![]()
Como punto tomamos P y como vector director
![]()
o un vector proporcional como ![]()
La ecuación de la recta que nos piden es:
![]()
Matemáticas IES