Plano que contiene a recta y es paralelo a otra
Halla la ecuación del plano que contiene a la recta
de ecuaciones

y es paralelo a la recta
definida por

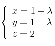
Halla la ecuación del plano que contiene a la recta
de ecuaciones

y es paralelo a la recta
definida por
