Matrices, Determinantes y Sistemas
(53) ejercicios de Matrices, Determinantes y Sistemas
-
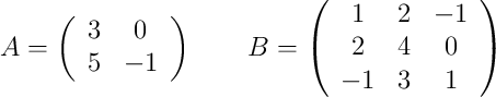
Calcula los determinantes de las siguientes matrices



-
Calcula las adjuntas de las siguientes matrices

-
Calcula los determinantes de las siguientes matrices:

-
Calcula la inversa de la matriz A

-
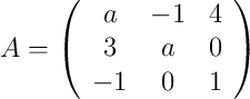
Indica para que valores de
no existe inversa de la matriz siguiente
