Matemáticas IES
Inicio
<::: Apuntes :::>
Acceso Mayores 25 - UNED
Actividades interactivas
Blog
EJERCICIOS de Matemáticas
RECURSOS Educativos
_VIDEOS_
Portada del sitio
EJERCICIOS de Matemáticas
1º BACH. SOC.
Logarítmos
Ejercicios de Logaritmos (1º Bach Sociales)
(43) ejercicios de Logarítmos
(#1674)
Seleccionar
Calcula el valor de
en los siguientes logaritmos:
–
–
–
–
–
(#2662)
Seleccionar
Resuelve el sistema:
(#2663)
Seleccionar
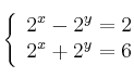
Resuelve el sistema:
1
...
20
25
30
35
40
Crear un PDF con los Ejercicios Seleccionados
Secciones
1º BACH. CIENCIAS
1º BACH. SOC.
Ecuaciones y Sistemas
Estadística
Exámenes
Funciones
Inecuaciones
Límites y Derivadas
Logarítmos
Matemática Financiera
Números Reales
Polinomios
Probabilidad
Variables Aleatorias bidimensionales
Variables Aleatorias Unidimensionales
1º ESO
2º BACH. CIENCIAS
2º BACH. SOC.
2º ESO
3º ESO
4º ESO