Ejercicio 2663 - Sistemas Ecuaciones Exponenciales

, por dani

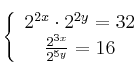
Resuelve el sistema:

\left\{
\begin{array}{c}
2^{2x} \cdot 2^{2y}=32 \\
\frac{2^{3x}}{2^{5y}}=16
\end{array}
\right.

SOLUCIÓN:

x=1 ; y=3