-
Resuelve la inecuación: 
-
Resuelve gráficamente el siguiente sistema de inecuaciones y calcula los vértices del recinto solución:

-
Resuelve gráficamente el siguiente sistema de inecuaciones y calcula los vértices del recinto solución:

-
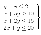
Resuelve gráficamente el siguiente sistema de inecuaciones y calcula los vértices del recinto solución:

-
Resuelve gráficamente el siguiente sistema de inecuaciones y calcula los vértices del recinto solución:
