-
Resuelve gráficamente la inecuación 
-
Resuelve la inecuación:

-
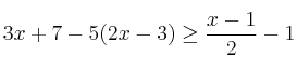
Resuelve la siguiente inecuación y expresa el resultado en forma de intervalo:

-
Resuelve la siguiente inecuación y expresa el resultado en forma de intervalo:

-
Resuelve la siguiente inecuación y expresa el resultado en forma de intervalo:
