Matemáticas IES
Inicio
<::: Apuntes :::>
Acceso Mayores 25 - UNED
Actividades interactivas
Blog
EJERCICIOS de Matemáticas
RECURSOS Educativos
_VIDEOS_
Portada del sitio
EJERCICIOS de Matemáticas
2º BACH. CIENCIAS
Funciones, Derivadas e Integrales
Ejercicio Integrales
3492
Ejercicio Integrales
Domingo 31 de mayo de 2009
,
por
dani
|
integrales
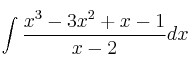
Resuelve la integral:
Secciones
1º BACH. CIENCIAS
1º BACH. SOC.
1º ESO
2º BACH. CIENCIAS
Funciones, Derivadas e Integrales
Geometría en el Espacio
Matrices, Determinantes y Sistemas
SELECTIVIDAD - EvAU
2º BACH. SOC.
2º ESO
3º ESO
4º ESO
Palabras clave
integrales