4690

Ejercicio 2650. Posición relativa de 2 Rectas en el espacio

, por dani

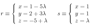
Halla la posición relativa (y punto de corte si existe) de las rectas:
 
r \equiv 
\left\{
\begin{array}{l}
x=1-5 \lambda \\
y=2+3 \lambda \\
z=-5+ \lambda \\
\end{array}
\right.  \quad 
s \equiv 
\left\{
\begin{array}{l}
x=1 \\
y=1 \\
z= \lambda \\
\end{array}
\right.