4686

Ejercicio 2648. Posición relativa de 2 Rectas en el espacio

, por dani

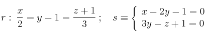
Estudia la posición relativa (y punto de corte en caso de ser secantes) de las rectas:
r: \: \frac{x}{2}=y-1=\frac{z+1}{3} \: ; \quad 
s \equiv 
\left\{
\begin{array}{l}
x-2y-1=0 \\
3y-z+1=0 \\
\end{array}
\right.