Ecuaciones
(32) ejercicios de Ecuaciones
-
Resuelve la ecuación
![\sqrt[3]{x} + \sqrt[3]{8x} = 3a \sqrt[3]{x} + \sqrt[3]{8x} = 3a](local/cache-TeX/c52888bdff098c7e8aec92433686dc1c.png)
-
Resuelve la ecuación

-
La única solución de la ecuación
es:– (a)
– (b)
– (c)
– (d) 0
– (e) Ninguna de las anteriores -
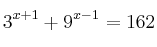
Resuelve la ecuación

-
Resuelve la ecuación

