Derivada de Logaritmo neperiano 1132
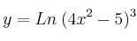
Calcula la derivada de la función
![]()
SOLUCIÓN:
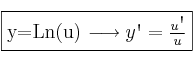
Se trata del Logaritmo neperiano de una función.
La fórmula de la derivada es 
La aplicamos a nuestro caso y obtenemos:
![y\textsc{\char13} = \frac{[(4x^2-5)^3]\textsc{\char13}}{(4x^2-5)^3} y\textsc{\char13} = \frac{[(4x^2-5)^3]\textsc{\char13}}{(4x^2-5)^3}](local/cache-vignettes/L152xH72/4b38d7fce308369139b41548fa1ddcb3-f9f44.png?1688041328)
Para hacer la derivada del numerador, debemos aplicar la fórmula de la derivada de "una función elevada a una potencia", que es la siguiente:
![]()
Por tanto obtendríamos:

Matemáticas IES