probabilidad
Sean los sucesos A y B tales que:
,
y
.
Calcula:
– a) ¿Son incompatibles los sucesos A y B?
– b) ¿Son independientes los sucesos A y B?
SOLUCIÓN
En primer lugar calculamos ![]()
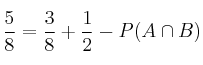
Para ello usamos la fórmula de la unión: Ver Resumen de Fórmulas
![]()

Despejando obtendríamos:

– a) ¿Son incompatibles los sucesos A y B?
No porque ![]()
– b) ¿Son independientes los sucesos A y B?
No porque ![]()