polinomios operaciones
Realiza las siguientes divisiones de polinomios (aplica la regla de Ruffini cuando sea posible):
– a)
– b) ![]()
SOLUCIÓN
– a) ![]()
![\polyhornerscheme[x=-2, resultstyle=\color{red},resultbottomrule,resultleftrule,resultrightrule]{x^4 - 2x^2 + 1} \polyhornerscheme[x=-2, resultstyle=\color{red},resultbottomrule,resultleftrule,resultrightrule]{x^4 - 2x^2 + 1}](local/cache-TeX/c2a6f2317ffadeef7b60a03be0a4a00d.png)
![]()
![]()
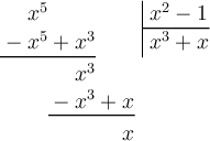
– b) ![]()
![\polylongdiv[style=D]{x^5}{x^2-1} \polylongdiv[style=D]{x^5}{x^2-1}](local/cache-TeX/7b16c6b555bb988285d0b4d00d2c8841.png)
![]()
![]()
Realiza las siguientes divisiones de polinomios (aplica la regla de Ruffini cuando sea posible):
– a)
– b) ![]()
– a) ![]()
![\polyhornerscheme[x=-2, resultstyle=\color{red},resultbottomrule,resultleftrule,resultrightrule]{x^4 - 2x^2 + 1} \polyhornerscheme[x=-2, resultstyle=\color{red},resultbottomrule,resultleftrule,resultrightrule]{x^4 - 2x^2 + 1}](local/cache-TeX/c2a6f2317ffadeef7b60a03be0a4a00d.png)
![]()
![]()
– b) ![]()
![\polylongdiv[style=D]{x^5}{x^2-1} \polylongdiv[style=D]{x^5}{x^2-1}](local/cache-TeX/7b16c6b555bb988285d0b4d00d2c8841.png)
![]()
![]()