funciones corte
Halla los puntos de corte con los ejes de las siguientes funciones:
–
–
– ![]()
SOLUCIÓN
– ![]()
Corte con los ejes de ![]()
Si 
Puntos de corte: ![]()
Si 
Puntos de corte: ![]()
– ![]()
Corte con los ejes de ![]()
Si 
Puntos de corte: ![]()
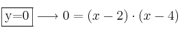
Si 
Ecuación que tiene como soluciones
y 
Puntos de corte:
y ![]()
– ![]()
Corte con los ejes de ![]()
Si 
Puntos de corte: ![]()
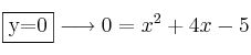
Si 
Resolvemos la ecuación de segundo grado y obtenemos como soluciones 1 y -5
Puntos de corte:
y ![]()