ecuaciones logaritmicas y exponenciales
Resuelve la ecuación ![]()
SOLUCIÓN
Ecuación exponencial
![]()
Reducimos a base 2:
![]()
Absorbemos los exponentes constantes:
![]()
![]()
Cambio de variable (ecuación cuadrática en
):
Cambio de variable: sea
(con
).
![]()
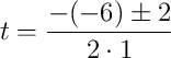
Discriminante: ![]()

→
![]()
Igualamos los exponentes:
![]()
![]()
→
![]()
Igualamos los exponentes:
![]()
![]()