ecuaciones bicuadradas
Resuelve la ecuación: ![]()
SOLUCIÓN
Resolvemos la ecuación bicuadrada:
![]()
Hacemos el cambio de variable
(con
):
![]()
Calculamos el discriminante:
![]()
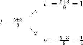
Las soluciones para
son:

Deshacemos el cambio de variable
:
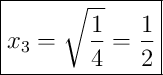
Como
: ![]()
![]()
![]()
![]()
Como
: 



Resuelve la ecuación: ![]()
Resolvemos la ecuación bicuadrada:
![]()
Hacemos el cambio de variable
(con
):
![]()
Calculamos el discriminante:
![]()
Las soluciones para
son:

Deshacemos el cambio de variable
:
Como
: ![]()
![]()
![]()
![]()
Como
: 



Mensajes
17 de noviembre de 2006, 18:22