Parábola que describe una bola de beisbol
José es beisbolista y le pega a la pelota con su palo a una altura de 1metro, ésta alcanza, a los 10 metros horizontales, una altura máxima de 11metros.
1) Encontrar la fórmula de la situación
2) ¿A cuántos metros de José cae la pelota?
3) ¿En qué momento sube la pelota y en cuál baja?
4) ¿Qué valores puede tomar x?. ¿Qué valores puede tomar y?
5) ¿Cuál fue la altura a los 6 metros horizontales?
6) ¿Cuántos metros horizontales recorre la pelota cuando está a 2 metros de altura?
SOLUCIÓN
La pelota describirá un movimiento parabólico.
La gráfica, por tanto, será una parábola invertida (el vértice arriba)
Sale a una altura de 1 metro, es decir sale desde el punto (0,1)
A los 10 metros (x=10) alcanza una máxima altura de 11 metros (y=11), por tanto pasa por el punto (10,11) que es el vértice.
Ahora vamos a encontrar la fórmula de la parábola.
Cualquier parábola tiene como fórmula
, que también se puede expresar como ![]()
Tenemos que encontrar los valores de a, b y c usando los datos del enunciado.
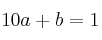
– Pasa por
entonces ![]()
– Pasa por
entonces ![]()
![]()
![]()
![]()
Aunque no es obligatorio, se puede simplificar la expresión dividiendo todo por 10 y quedaría:
(1)
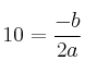
– El punto (10,11) es el vértice de la parábola.
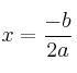
La coordenada "x" del vértice de una parábola se obtiene con la fórmula 

![]()
![]()
(2) ![]()
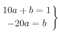
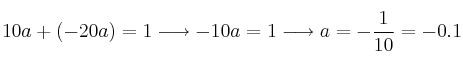
Resolvemos el sistema formado por las ecuaciones (1) y (2) y así obtenemos los valores de a y b


![]()
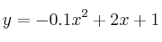
Por tanto la ecuación de la parábola es:
![]()
2) ¿A cuántos metros de José cae la pelota?
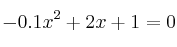
Hay que calcular los puntos de corte de la parábola con el eje horizontal.
Para ello se resuelve la ecuación
y una de las soluciones (la positiva, la que nos interesa) es aproximadamente 20.49
Por tanto caerá a 20.49 metros
3) ¿En qué momento sube la pelota y en cuál baja?
Sube desde que se lanza hasta que está a 10 metros horizontales de José.
En el resto baja
4) ¿Qué valores puede tomar x?. ¿Qué valores puede tomar y?
La x puede tomar valores entre 0 y 20.40
La y toma valores desde 0 hasta 11
5) ¿Cuál fue la altura a los 6 metros horizontales?
Si ![]()
A los 6 metros horizontales está a 9.4 metros de altura
6) ¿Cuántos metros horizontales recorre la pelota cuando está a 2 metros de altura?
Si ![]()
![]()
Resolvemos y obtenemos como soluciones aproximadas x=0.51 y x=19.49
