Navega sin publicidad Regístrate GRATIS

Funciones Par e impar.

💬 2

  Ejercicios_Resueltosfuncionessimetría de función

Estudie si existe alguna simetría en las siguientes funciones:

 a) f(x)=x^4+x^2
 b) f(x)=x^3+2x
 c) f(x)=x^3+5

SOLUCIÓN

 a) f(x)=x^4+x^2
f(-x)=(-x)^4+(-x)^2=x^4+x^2
Es una función par (simétrica respecto al eje OY) porque f(x)=f(-x)
 b) f(x)=x^3+2x
f(-x)=(-x)^3+2(-x)=-x^3-2x
Es una función impar (simétrica respecto al origen de coordenadas) porque f(x)=-f(-x)
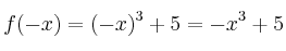
 c) f(x)=x^3+5
f(-x)=(-x)^3+5=-x^3+5
No existe ningún tipo de simetría.

Comentar el ejercicio

Mensajes