Ejercicio de Matemática Financiera Interés Compuesto
Depositamos 3000 euros al 6% de interés compuesto durante 4 años. ¿Qué capital tendremos al final del periodo, si la agencia tributaria nos retiene el 18%?
SOLUCIÓN
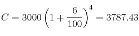
Usamos la fórmula del interés compuesto:

y obtenemos:

Pusimos 3000 y obtuvimos al cabo de 4 años 3787.43, por tanto hemos obtenido unos intereses o ganancias de 787.43 euros.
Si la agencia tributaria se queda con el 18% (de los 787.43) nos quedarán 645.69
Por tanto nuestro capital final se quedará en 3645.69 €