Calcular derivada
Calcula la derivada de la función 
SOLUCIÓN

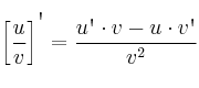
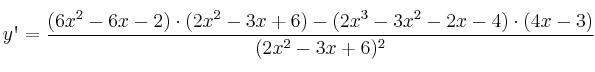
Como se trata de una fracción, debemos aplicar la fórmula de la derivada de un cociente: ![\left[ \frac{u}{v} \right]^{\textsc{\char13}} = \frac{u\textsc{\char13}\cdot v - u\cdot v\textsc{\char13}}{v^2} \left[ \frac{u}{v} \right]^{\textsc{\char13}} = \frac{u\textsc{\char13}\cdot v - u\cdot v\textsc{\char13}}{v^2}](local/cache-TeX/94380ea3c255d6338653845e840977f0.png)

Calcula la derivada de la función 

Como se trata de una fracción, debemos aplicar la fórmula de la derivada de un cociente: ![\left[ \frac{u}{v} \right]^{\textsc{\char13}} = \frac{u\textsc{\char13}\cdot v - u\cdot v\textsc{\char13}}{v^2} \left[ \frac{u}{v} \right]^{\textsc{\char13}} = \frac{u\textsc{\char13}\cdot v - u\cdot v\textsc{\char13}}{v^2}](local/cache-TeX/94380ea3c255d6338653845e840977f0.png)
