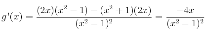
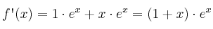
Calcular Derivadas derivada de una funciónEjercicios_Resueltosfunciones Calcula las siguientes derivadas y simplifica el resultado cuando se pueda: – a) – b) SOLUCIÓN – a) – b) Comentar el ejercicio