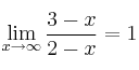
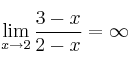
Asíntotas hipérbola asíntotasEjercicios_Resueltosfunciones Halle las asíntotas de la función SOLUCIÓN Asíntota horizontal porque Asíntota vertical porque Comentar el ejercicio