02 - Distancia de un punto a un plano
4 - DISTANCIAS, ÁNGULOS y SIMETRÍAS
01 - Distancia entre dos puntos
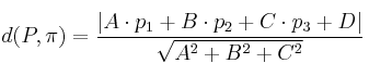
02 - Distancia de un punto a un plano
03 - Distancia de un punto a una recta
04 - Distancia entre rectas que se cruzan
05 - Ángulo entre dos vectores
06 - Ángulo entre dos rectas
07 - Ángulo entre dos planos
08 - Ángulo entre recta y plano
09 - Simétrico de un punto respecto de otro punto
10 - Simétrico de un punto respecto de una recta
11 - Simétrico de un punto respecto de un plano
Matemáticas IES
