polinomios operaciones
Realiza las siguientes divisiones de polinomios (aplica la regla de Ruffini cuando sea posible):
– a)
– b) ![]()
SOLUCIÓN:
– a) ![]()
![\polyhornerscheme[x=1, resultstyle=\color{red},resultbottomrule,resultleftrule,resultrightrule]{x^6 + x^3 -x + 1} \polyhornerscheme[x=1, resultstyle=\color{red},resultbottomrule,resultleftrule,resultrightrule]{x^6 + x^3 -x + 1}](local/cache-vignettes/L375xH100/7db4dc4b18d8c957e324db50cfd5c686-91ab8.png?1688173074)
![]()
![]()
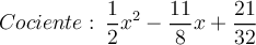
– b) ![]()
![\polylongdiv[style=D]{x^3 - 3x^2 + 2x}{2x - \frac{1}{2}} \polylongdiv[style=D]{x^3 - 3x^2 + 2x}{2x - \frac{1}{2}}](local/cache-vignettes/L340xH188/a28e6b4c551d80bbd06a04dddf5a52ba-303c7.png?1688173074)
![]()
![]()
Realiza las siguientes divisiones de polinomios (aplica la regla de Ruffini cuando sea posible):
– a)
– b) ![]()
SOLUCIÓN:
– a) ![]()
![\polyhornerscheme[x=1, resultstyle=\color{red},resultbottomrule,resultleftrule,resultrightrule]{x^6 + x^3 -x + 1} \polyhornerscheme[x=1, resultstyle=\color{red},resultbottomrule,resultleftrule,resultrightrule]{x^6 + x^3 -x + 1}](local/cache-vignettes/L375xH100/7db4dc4b18d8c957e324db50cfd5c686-91ab8.png?1688173074)
![]()
![]()
– b) ![]()
![\polylongdiv[style=D]{x^3 - 3x^2 + 2x}{2x - \frac{1}{2}} \polylongdiv[style=D]{x^3 - 3x^2 + 2x}{2x - \frac{1}{2}}](local/cache-vignettes/L340xH188/a28e6b4c551d80bbd06a04dddf5a52ba-303c7.png?1688173074)
![]()
![]()