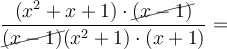
fracciones algebraicas | polinomios fracciones_algebraicas Opera y simplifica: SOLUCIÓN Secciones 1º BACH. CIENCIAS Cónicas Derivadas Ecuaciones Ecuaciones Exponenciales y Logarítmicas Exámenes Funciones (I) Funciones II Geometría en el Plano Inecuaciones Integrales Logaritmos Números Complejos Números Reales Polinomios y Fracciones Algebraicas Probabilidad Sistemas de Ecuaciones Sucesiones Trigonometría 1º BACH. SOC. 1º ESO 2º BACH. CIENCIAS 2º BACH. SOC. 2º ESO 3º ESO 4º ESO Palabras clave fracciones_algebraicas polinomios