Matemáticas IES
Inicio
<::: Apuntes :::>
Acceso Mayores 25 - UNED
Actividades interactivas
Blog
EJERCICIOS de Matemáticas
RECURSOS Educativos
_VIDEOS_
Portada del sitio
EJERCICIOS de Matemáticas
1º BACH. CIENCIAS
Sucesiones
Ejercicios de Sucesiones (1º Bach Ciencias)
(74) ejercicios de Sucesiones
(#1381)
Seleccionar
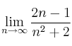
Halla el siguiente límite de sucesiones:
(#1382)
Seleccionar
Halla el siguiente límite de sucesiones:
(#1392)
Seleccionar
Halla el siguiente límite de sucesiones:
(#1391)
Seleccionar
Halla el siguiente límite de sucesiones:
(#1390)
Seleccionar
Halla el siguiente límite de sucesiones:
1
...
15
20
25
30
...
15
Crear un PDF con los Ejercicios Seleccionados
Secciones
1º BACH. CIENCIAS
Cónicas
Derivadas
Ecuaciones
Ecuaciones Exponenciales y Logarítmicas
Exámenes
Funciones (I)
Funciones II
Geometría en el Plano
Inecuaciones
Integrales
Logaritmos
Números Complejos
Números Reales
Polinomios y Fracciones Algebraicas
Probabilidad
Sistemas de Ecuaciones
Sucesiones
Trigonometría
1º BACH. SOC.
1º ESO
2º BACH. CIENCIAS
2º BACH. SOC.
2º ESO
3º ESO
4º ESO