Sistemas de Ecuaciones Selectividad
Discute el siguiente sistema en función de los valores del parámetro

SOLUCIÓN:
Expresamos la matriz de los coeficientes (A) y la matriz ampliada (
)

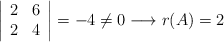
Empezamos calculando
y viendo para qué casos vale 0

![]()
Si
y ![]()
Como
y nº incógnitas = 3, según el Teorema de Rouché se trata de un S.C.D. (Sistema Compatible Determinado).
Veamos el resto de casos
Si ![]()

![]()
(pues tiene dos filas iguales)
nº incógnitas = 3
Por el Teorema de Rouché se trata de un S.C.I. (infinitas soluciones)
Si ![]()

![]()
Veamos lo que vale ![]()

Como tienen distinto rango, por el Teorema de Rouché se trata de un S.I. (Sistema Incompatible).
En resumen:
– Si
y
S.C.D.
– Si
S.C.I.
– Si
S.I.
Matemáticas IES