Matemáticas IES
Inicio
<::: Apuntes :::>
Acceso Mayores 25 - UNED
Actividades interactivas
Blog
EJERCICIOS de Matemáticas
RECURSOS Educativos
_VIDEOS_
Portada del sitio
EJERCICIOS de Matemáticas
1º BACH. CIENCIAS
Sistemas de Ecuaciones
Ejercicios de Sistemas de Ecuaciones - 1º Bachillerato de Ciencias
(25) ejercicios de Sistemas de Ecuaciones
(#1509)
Seleccionar
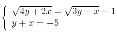
Resuelve el sistema de ecuaciones:
(#1510)
Seleccionar
Resuelve el sistema de ecuaciones:
(#1511)
Seleccionar
Resuelve el sistema de ecuaciones:
(#1512)
Seleccionar
Resuelve el sistema de ecuaciones:
(#1521)
Seleccionar
Resuelve el sistema de ecuaciones:
0
5
10
15
20
Crear un PDF con los Ejercicios Seleccionados
Secciones
1º BACH. CIENCIAS
Cónicas
Derivadas
Ecuaciones
Ecuaciones Exponenciales y Logarítmicas
Exámenes
Funciones (I)
Funciones II
Geometría en el Plano
Inecuaciones
Integrales
Logaritmos
Números Complejos
Números Reales
Polinomios y Fracciones Algebraicas
Probabilidad
Sistemas de Ecuaciones
Sucesiones
Trigonometría
1º BACH. SOC.
1º ESO
2º BACH. CIENCIAS
2º BACH. SOC.
2º ESO
3º ESO
4º ESO