1624

Sistemas Logarítmicos

, por dani

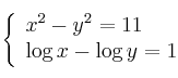
Resuelve el sistema de ecuaciones:
 \left\{
\begin{array}{ll}
x^2 - y^2 = 11 \\
\log x -  \log y = 1
\end{array}
\right.