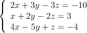
Sistema lineal 3x3 resuelto por el método de Gauss
Resuelve por el método de Gauss el siguiente sistema de ecuaciones

SOLUCIÓN:
Expresamos la matriz ampliada

Intercambiamos las Filas 1 y 2

El último cambio es ![]()

Después de los cambios de Gauss se convierte en un sistema escalonado, que se resuelve de abajo hacia arriba

Ahora nos vamos a la segunda ecuación
![]()
Finalmente sustituimos en la primera ecuación
![]()
Matemáticas IES