Navega sin publicidad Regístrate GRATIS

Selectividad Murcia Junio 2014 B3

Ejercicios_Resueltosfuncionestangente a curva

Dada la función f(x) = x \cdot Ln(x)-x , se pide:
a) Determine el punto de la gráfica de f para el cual la recta tangente es paralela a la bisectriz del primer cuadrante. Calcule la ecuación de dicha recta.
b) Determine el punto de la gráfica de f para el cual la recta tangente es paralela al eje OX. Calcule la ecuación de dicha recta.

SOLUCIÓN

Antes de nada recordemos que la bisectriz del primer cuadrante es la recta que pasa por los puntos (0,0) , (1,1) , (2,2), etc.
Tiene de ecuación y=x (su pediente es 1)

Por otra parte las rectas paralelas al eje OX son de la forma y=b, es decir, y=0 \cdot x +b (su pendiente es 0).

También debemos recordar que la pendiente de la recta tangente en un punto coincide con la derivada en ese punto (Interpretación geométrica de la derivada)

f(x) = x \cdot Ln(x)-x , se pide:
a) Determine el punto de la gráfica de f para el cual la recta tangente es paralela a la bisectriz del primer cuadrante. Calcule la ecuación de dicha recta.

Si la tangente es paralela a la bisectriz y=x, entonces tiene la misma pendiente. Tiene 1 de pendiente, por lo tanto, la derivada en ese punto tiene que ser 1.

En definitiva, me están pidiendo un punto donde su derivada valga 1

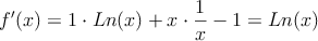
f^{\prime}(x)=1 \cdot Ln(x)+x \cdot \frac{1}{x}-1 = Ln(x)

f^{\prime}(a)= Ln(a) = 1 \longrightarrow \textcolor{blue}{a=e}

Para calcular la ecuación de la recta tangente se usa la fórmula

y-f(a) = f^{\prime}(a) \cdot (x-a)

que para nuestro caso será:

y-f(e) = f^{\prime}(e) \cdot (x-e)

Ya sabemos que f^{\prime}(e)=1. Nos queda calcular f(e)

f(e) =  e \cdot Ln(e)-e = e \cdot 1 -e = 0

La ecuación de la tangente quedaría entonces:

y-0 = 1 \cdot (x-e)


\textcolor{blue}{y=x-e}

b) Determine el punto de la gráfica de f para el cual la recta tangente es paralela al eje OX. Calcule la ecuación de dicha recta.

Igual que el apartado anterior, salvo que la pendiente es 0 en lugar de 1

f^{\prime}(a)= Ln(a) = 0 \longrightarrow \textcolor{blue}{a=1}

La ecuación de la recta tangente será ahora

y-f(1) = f^{\prime}(1) \cdot (x-1)

Ya sabemos que f^{\prime}(1)=0. Nos queda calcular f(1)

f(1) =  1 \cdot Ln(1)-1 = 1 \cdot 0 -1 = -1

La ecuación de la tangente quedaría entonces:

y-(-1) = 0 \cdot (x-1)


\textcolor{blue}{y+1=0}

En la siguiente imagen se pueden ver todo lo calculado antes

Comentar el ejercicio