Selectividad Andalucía 2011-6-A3
andalucíadiscutir_sistemaEjercicios_ResueltosMatematicasII_Andalucía_2011PIZARRAselectividadsistema_con_parámetros
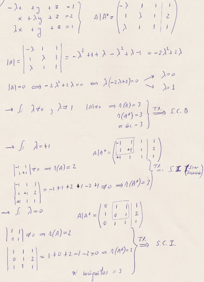
Dado el sistema de ecuaciones lineales

– a) Clasifica el sistema según los valores del parámetro
– b) Resuelve el sistema para ![]()

Mensajes
11 de abril de 2013, 16:48, por juan pedro
hay una errata , en el estudio del parametro deberia ser para 1 , no para -1
11 de abril de 2013, 17:29, por dani
Tienes razón, lo modificaré. Gracias por informar!