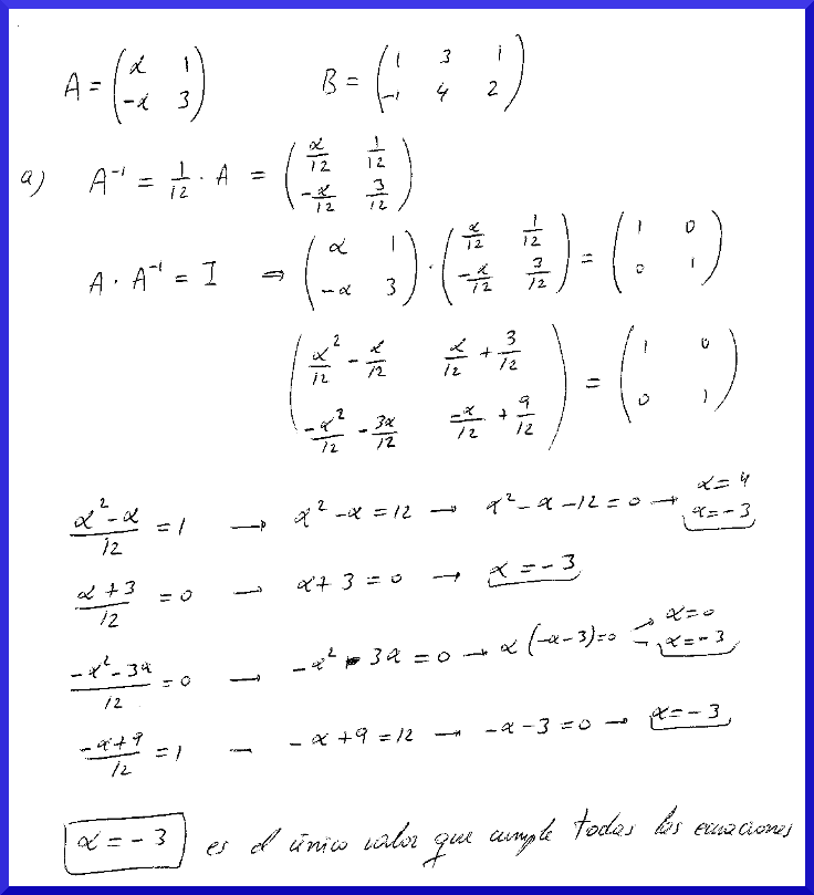
Selectividad Andalucía 2011-2-B3
Sean las matrices


– a) Calcula los valores de
para los que la matriz inversa de A es
– b) Para
, determina la matriz
que verifica la ecuación
, siendo
la matriz traspuesta de
.
SOLUCIÓN:
– a)
– b) 
Sean las matrices


– a) Calcula los valores de
para los que la matriz inversa de A es
– b) Para
, determina la matriz
que verifica la ecuación
, siendo
la matriz traspuesta de
.
SOLUCIÓN:
– a)
– b) 