Selectividad Andalucía 2008-6-A2
Considera las funciones
y
definidas por:
y
(ln denota la función logaritmo neperiano)
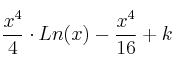
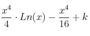
– (a) Halla la primitiva de
que toma el valor
cuando
(se puede hacer el cambio de variable
)
– (b) Calcula 
SOLUCIÓN
– (a)
– (b) 
Mensajes
5 de junio de 2021, 13:25, por Lidia
El apartado a) está mal verdad?