3086
Selectividad Andalucía 2007-3-B3
Considera el sistema de ecuaciones

– a) Determina el valor de
para que el sistema sea incompatible.
– b) Resuelva el sistema para ![]()
SOLUCIÓN:
– a) Expresamos la matriz de los coeficientes (A) y la matriz ampliada (A*)


![]()
– Si
y
Como
y nº incógnitas=3, según el teorema de Rouché, el Sistema es Compatible Determinaddo.
– Si
, las matrices serían
Ya sabemos que para
el det(A)=0 (el rango de A no puede ser 3). Veamos si el rango de A vale 2:
Se trata de un Sistema Compatible Indeterminado
– Si
, las matrices serían
Ya sabemos que para
el det(A)=0 (el rango de A no puede ser 3). Veamos si el rango de A vale 2:
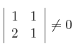
Tomamos las filas 1 y 2; columnas 2 y 3
Se trata de un Sistema Incompatible
Por tanto Sist. Incomp. para ![]()
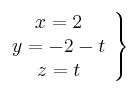
– b) Resolvemos el sistema para
(en el apartado anterior hemos visto que es Compatible Indeterminado para
).
Las matrices son
El determinante que daba el rango a la matriz A, era el formado tomando las 2 primeras filas y las dos primeras columnas
, por tanto eliminamos la 3ª fila y pasamos la 3ª columna a los términos independientes, quedando:
Haciendo
y resolviendo el sistema 2x2 obtenemos las soluciones:
(con
)
Matemáticas IES