Selectividad Andalucía 2003-6-A3

, por dani

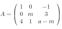
Considera las matrices

A = 
\left(
\begin{array}{ccc}
1 & 0 & -1\\
0 & m & 3 \\
4 & 1 & a-m
\end{array}
\right) ,
B = 
\left(
\begin{array}{c}
1\\
 -1 \\
3 
\end{array}
\right) y
X = 
\left(
\begin{array}{c}
x\\
y \\
z
\end{array}
\right)

 (a) ¿Para qué valores de m existe la matriz A^{-1}?
 (b) Siendo m=2, calcula A^{-1} y resuelve el sistema A \cdot X = B
 (c) Resuelve el sistema A \cdot X = B para m=1