Selectividad Andalucía 2001-1-A2
Sea
la función definida para
por 
– (a) Determina las asíntotas de la gráfica de
– (b) Determina los intervalos de crecimiento y decrecimiento y los extremos relativos de
– (c) Esboza la gráfica de ![]()
SOLUCIÓN:
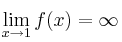
– a) Asíntota vertical
porque ![]()
Asíntota horizontal NO HAY porque ![]()
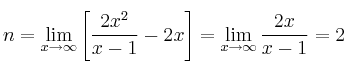
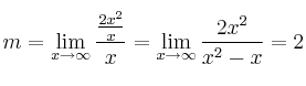
La asíntota oblicua es una recta de ecuación
, donde m y n se calculan con las expresiones siguientes:
![]()
Si lo aplicamos a la función
obtenemos:
![n = \lim\limits_{x \rightarrow \infty} \left[\frac{2x^2}{x-1} -2x\right] = \lim\limits_{x \rightarrow \infty} \frac{2x}{x-1}=2 n = \lim\limits_{x \rightarrow \infty} \left[\frac{2x^2}{x-1} -2x\right] = \lim\limits_{x \rightarrow \infty} \frac{2x}{x-1}=2](local/cache-vignettes/L347xH72/1b3186a614a6cb7b35d30ed698922a46-ec043.png?1688090400)
La Asíntota oblicua es 
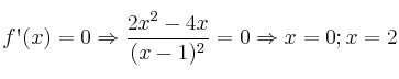
– b) Monotonía y extremos
Los intervalos a considerar son
,
y ![]()
Si aplicamos
a un punto de cada intervalo obtenemos:
es creciente en
es decreciente en
es creciente en ![]()
Como la función es continua en cada uno de lo tres nitervalos, concluimos que hay un máximo en x=0 y un mínimo en x=2.
Calculamos la segunda coordenada:
MAX(0,0)
MIN(2,8)
c) Veamos la gráfica
Matemáticas IES