Rectas ortogonales en 3D
Comprueba si las siguientes rectas son ortogonales


Obtenga su gráfica usando geogebra, octave u otro software
SOLUCIÓN
Para que dos rectas sean ortogonales (perpendiculares) sus vectores directores deben ser ortogonales.
Recordemos que dos vectores son perpendiculares cuando su producto escalar es cero.
Las rectas nos las presentan en ecuación continua, por tanto podemos obtener sus vectores directores de los denominadores:
Vector director de ![]()
Vector director de ![]()
![]()
No son ortogonales y por tanto las rectas no son perpendiculares.
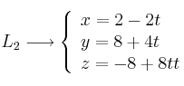
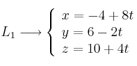
Para graficarlas las pasamos a ecuaciones paramétricas


Para graficarlas con octave tecleamos lo siguiente
>> plot3(2-2*t,8+4*t,-8+8*t)
>> hold on
>> plot3(-4+8*t,6-2*t,10+4*t)
Para graficarlas con geogebra podemos obtener dos puntos y dibujar la recta que pasa por dos puntos (para cada una de ellas). Obtendríamos la siguiente imagen
