2562

Producto de Matrices

, por dani

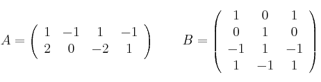
Demuestra que A \cdot B \neq B \cdot A , siendo las matrices
 A =
\left(
\begin{array}{cccc}
     1 & -1 & 1 & -1
  \\ 2 & 0 & -2 & 1


\end{array}
\right)
\qquad
B =
\left(
\begin{array}{ccc}
     1 & 0 & 1
  \\ 0 & 1 & 0
  \\  -1 & 1 & -1
  \\  1 & -1 & 1
\end{array}
\right)