Obtener puntos y vectores de una recta
Encuentra dos puntos y dos vectores directores de las siguientes rectas:
a) 
b) 
c) 
SOLUCIÓN:
Encuentra dos puntos y dos vectores directores de las siguientes rectas:
– a) Para
obtenemos el punto
Para
obtenemos el punto ![]()
La propia ecuación nos da como vector el
Cualquier otro vector proporcional, como el
, sería vector director de la recta
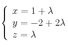
– b) Pasamos la recta a ecuaciones paramétricas y, dando valores a $\lambda$ obtenemos todos los puntos que queramos

Para
obtenemos el punto
Para
obtenemos el punto ![]()
La ecuación de la recta nos proporciona el vector director
. Otro vector director podría ser, por ejemplo ![]()
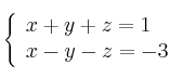
– c) Una forma sería pasar a ecuaciones parmétricas (resolviendo el sistema indeterminado). Obtendríamos:
a) 
Ahora procedemos igual que en los apartados anteriores:
Puntos
,
Vectores
, ![]()
Matemáticas IES