Ejercicios de Complejos - 1º Bach Ciencias

(128) ejercicios de Números Complejos

  • (#1470)     Seleccionar

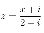
    Dado el número complejo z=\frac{x+i}{2+i} , halla el valor de x para que el módulo de z valga \sqrt{2}

  • (#1471)     Seleccionar

    Calcula:

     i^{-243}
     i^{764}
     (-i)^{400}

  • (#1472)     Seleccionar

    Efectúa la siguiente operación con números complejos:
    \frac{5+i}{5-i}

  • (#1473)     Seleccionar

    Efectúa la siguiente operación con números complejos:
    (6-5i) + (2-i) - 2(-5+6i)

  • (#1474)     Seleccionar

    Efectúa la siguiente operación con números complejos:
    (2-3i) - (5+4i) + \frac{1}{2}(6-4i)